三角関数の計算 三角関数計算の基礎 :三角関数の周期性およびsinとcosの関係から導かれる計算式, 解りやすい図で説明 三角関数の相互関係 : sinθ sin θ , cosθ cos θ , tanθ tan θ の相互の関係を示した式 次数下げに利用する式 : 三角関数の方程式,不三角不等式 Geisya もしくは,三角形の「2辺の長さの和」が「他の1辺の長さ」よりも大きいという関係式 c 一次方程式の解き方 中1数学 方程式3 Duration 353 eclus13 21,302 views 353 高校数学 数Ⅱ-99 三角関数を含む方程式・不等式①3481 (積分と漸化式 (tan^n (x)の定積分)) 13 ビュー このページを評価 見て頂いてありがとうございます. 見てもらうために作成しておりますので,どんどん見てください. ★の数は優先度です.★→★★→★★★ の順に取り組みましょう. 3573 3480 3410 3574
最短の解法 三角方程式の解の個数 1次分離 数学ii 三角関数 Youtube
三角関数 方程式 解き方
三角関数 方程式 解き方-三角関数からなる方程式の解き方 by 数学ナビゲーター 最終更新日 04年7月19日 数式を正常に表示するにはMathPlayerのインストールが必要です。詳しくはホームページを見てください。 三角関数の種類,角を統一を図る変形に用いる式: 三角関数の相互関係 , 合成公式 3. (1)角度,三角関数の種類が 統一できた場合 例えば, sinθ sin θ だけの三角方程式になれば, sinθ= X sin θ = X とおいて, X X に関する方程式に変換して X X の解を求める.このとき X X の範囲に注意する.



高校数学 三平方の定理による三角関数の計算 1 映像授業のtry It トライイット
θ = k, cos θ = k, tan θ = k 型の方程式は θ の動く範囲を考えて,点を単位円周上で動かせばよい. 三角方程式の本当の解き方(弧度法) こんにちは。 da Vinch ( @mathsouko_vinch )です。 記事の題名が不思議な感じですが、「本当の」という意味は最後にはわかるはずです。 ここでは 三角方程式 をしっかりと解いていきます。 使うのはやはり 単位円 です 以上をまとめると三角方程式の解き方は「 単位円 を描き、 y=aの直線 を加えて、 三角形の比 を求めて角度を求め、 範囲を確認 して当てはまるもののみ答える」となります。 また、三角形の比は有名角のもの (30°、45°、60°など)に限られます。
三角関数の方程式について、2種類の解き方で解いてみましょう。 問題 box03 title="三角関数の方程式"$0 三角関数 三角関数の方程式(3倍角・和積公式の利用) eyobi 21年3月5日 / 21年4月 この微分方程式の解き方を教えてください d^2u/dφ^2 u = 1/l 楕円の問題で出てきた微分方程式で、uをφの関数として一般解を求めよ、という問題です。 三角関数でおいて解いてみたのですが、そのあとの問題との兼ね合いが悪く、間違っている気がしてなり三角関数の合成公式 f (\theta) = a \cos \theta b \sin \theta f (θ) = acosθ bsinθ という関数がどんな値をとるか考えてみましょう。 \cos \theta cosθ がそれぞれ大きくなったり小さくなったりします。 このため、上の \theta θ に対して、どのような値をとるかはすぐ
三角関数 f (x)=\sin x f (x) = sinx は単射でない。逆三角関数を使う 逆三角関数を入力する場合は、 キーを押してから、 (サイン)、 (コサイン)、 (タンジェント)のそれぞれのキーを押します。 逆三角関数を使った計算 (例:cos 1 (05)を計算する) アークコサイン (cos 1)の記号は、 キーを押してから、 キーを押下して入力します。 三角比を含む方程式 三角方程式の解き方 sinθ=aの場合、 x軸に平行な 直線y=a と単位円の交点を求め、そこからθを導く。 cosθ=bの場合、 y軸に平行な 直線x=b と単位円の交点を求め、そこからθを導く。 tanθ=cの場合、 原点を通る傾きがcの 直線y=cx と単位円の交点を求め、そこからθ



高校数学 三角比 三角比を使った不等式はコレで簡単に解けてしまう 数学の面白いこと 役に立つことをまとめたサイト



産短大の毎日
三角関数の解き方|高校生/数学 数学は僕に任せてください! いきなりですが、下の問題見てください。 aは定数とする。 θに関する方程式cos2θsinθa=0について、次の問いに答えなさい。 ただし、0≦θ<2πとする。 (1)この方程式が解をもつためのa シュレディンガー方程式は数学的には「固有方程式」と呼ばれるものです。 自分自身の微分形が元の関数の定数倍になっているような関数を求めるのですがこれがまた結構難しかったりします。 笑 それでもわかりやすく解説してください。 数学の復習 24時間365日いつでも医師に健康相談できる! 詳しくはコチラ>> 逆三角関数の方程式を解いてください 。 逆三角関数の問題ですが、まったく理解できません。 いつも初歩的な質問です 積分で1/x^2 はどうなるのでしょうか? 数学の極限の問題です! (1



範囲に制限がない時 なんでsinとcosのときは 2npなのにtanのときは npな Clear



三角関数講座その3 置き換え 2次関数 高校数学の知識庫
2 二次方程式 解き方 4x 2 8x21=0のxの解を求める時、あなたは、どのようにもとめますか? ここで、さっそく解の公式を使ったあなた・・ 何か忘れていませんか? そう! 因数分解中学校で習う1次方程式の解き方 など 034 θ=約19° これに対して,定期試験や入学試験などで三角関数表が付いていない場合には,上に述べた表に出てくる問題しか出ないことになります(符号が逆のものは出ます). 三角方程式(sin,cos)の解き方のポイント 、 、 のうち2つ以上が含まれる三角方程式を解く問題です。 相互関係を用いて式に含まれる三角比を減らし、因数分解します。



高校数学 三角関数tan8の不等式 練習編 映像授業のtry It トライイット



三角関数を含む不等式の解の求め方 数学 苦手解決q A 進研ゼミ高校講座
三角方程式の解き方 置き換えを利用する三角方程式の解き方 三角関数をうまく置換することで,通常の見慣れた方程式に直して解きます。その解から角度を求めることができます。 この時, 置換した文字に範囲が付くことに注意が必要です。 中学と高校の数学の解き方のコツ 因数分解の公式 不等式の解き方 二次関数の頂点の座標 絶対値 方程式の解き方 三角関数sin cos tan なるべく図を書いて、右脳で理解するのが数学の解き方のコツです。 公式を言葉だけで覚えないように。三角方程式の問題の解き方4タイプをイラスト付きで分かりやすく解説 数学 三角方程式 高校数学に関する質問 勉強質問サイト 48s96ub7b0z5f Net Sankakuhouteishiki Circle Graph 三角関数の方程式 不等式の解き方 単位円を考えよう 三角方程式の本当の解き方



数 三角方程式の解の存在条件次の画像 青チャート141 の解説に Yahoo 知恵袋



Tanが含まれる方程式 不等式を解く時の考え方とコツ 高校数学の知識庫
三角方程式・不等式④(三角関数の合成) a\sin\thetab\cos\theta}}は,\ \bm {\textcolor {red} {合成して変数\,\theta\,を1ヶ所に集める}}$ことができるのであった \\ 2zh $すると,\ \bm {\textcolor {magenta} {基本型 (\sin\theta=k型)の三角方程式・不等式に帰着}}する$ a\sin\thetab\cos三角関数 三角比の公式一覧 30度、45度、60度のsin、cos、tan 単位円を使った三角比の定義と有名角の値(0°~180°) 三角関数の加法定理に関する公式全22個(導出の流れつき) 三角方程式の解き方と例題 2倍角の公式の証明と頻出例題 半角の公式の使い方三角方程式の解き方 ・ sinθ = p sin θ = p を解くとき 単位円と y = p y = p の交点の角度を求める. ・ cosθ = q cos θ = q を解くとき 単位円と x = p x = p の交点の角度を求める.



数学ii 三角関数 方程式の解の個数 下島健太 Curacher Com Youtube



3分でわかる 三角関数の不等式の解き方 合格サプリ
逆三角関数の等式についての問題です。 数学に強い方、か助けて下さい。 (1) 2arctan (1/5)=arctan (5/12) (2) sin (arccosx)=√ (1x^2) (3) arccosxarccos (x)=π (4) arctanxarctan (1/x)=π/2 (x>0) 数学 解き方を教えて下さい! 1/x2x/x^24 数学中級です! 数学 次の方程式を解変数分離形 微分方程式 同次形 微分方程式 線形微分方程式 ベルヌーイ形の微分方程式 リッカチ形の微分方程式 全微分方程式と積分因子 微分方程式の変数変換による解き方 定数係数2階線形微分方程式(同次) 定数係数2階線形微分方程式(非同次)三角関数の方程式 ここでは、 のような、角度の部分が複雑な三角関数の方程式の解き方をみていきます。 問題 0≦θ<2πの範囲において、次の方程式を満たすθの値を求めなさい。 解法へのポイント ()の中が複雑な方程



三角関数講座その2 合成と方程式 最大値 高校数学の知識庫



三角関数の証明付き公式集 重要公式をわかりやすく1から解説 Studyplus スタディプラス
三角方程式数学Ⅰで学習した三角方程式と大差はありません。角の範囲が \(180°\) をこえただけです。単位円による解法とグラフによる解法があります。単位円による解法を断然おすすめします。例題1\(0 \leqq \theta \lt 2\pi\) のとき、次の方程式を解きなさい。次の形でかける微分方程式を 変数分離形の微分方程式 (separable differential equation) といいます。 x x だけの式です。 g (y) g(y) が連続関数であれば積分が存在します。 つまり、 G (y) G(y) が存在します。 となります。 これと、元の式 (1) (1) から次の関係が



りなーど 三角関数の連立方程式とか解くの久しぶりすぎて手間取った 現時点で入試問題解いたらひでぇことになりそうw



高校数学 Sin8とcos8を解にもつ2次方程式 Sin8とcos8の連立方程式 受験の月



高校数学 三角関数tan8の不等式 練習編 映像授業のtry It トライイット



数学 B 三角関数を解とする3次方程式 愛媛大 一橋大 大学入試数学の考え方と解法



3分でわかる 三角関数の角度の求め方 三角方程式を解く 合格サプリ



三角関数のはいった方程式 不等式の見極め方と解き方 その2 弧度法 高校数学の知識庫



数学 三角方程式の解の個数問題チャート 実践例題集 自宅でできる受験対策ショップ ワカルー Wakaru



最短の解法 三角方程式の解の個数 1次分離 数学ii 三角関数 Youtube



3分でわかる 三角関数の不等式の解き方 合格サプリ



数学 教科書p124 125解説 三角関数を含む方程式 Youtube



三角関数 この問題の3番の 1 4 まで解き方教えてください 解答 Okwave



三角関数の方程式の解き方がわからないです Clear



微分方程式の解き方を分かりやすく解説



チャート数 B 例題126の 2 が分かりません Clear



三角関数を含む方程式や不等式 の指導法 怜悧玲瓏 高校数学を天空から俯瞰する



応用 三角関数を含む等式 不等式 変域が変わる なかけんの数学ノート



三角関数の相互関係



高次方程式 解と係数の関係 数学入試問題



5講 三角関数を含む方程式 不等式 1節 三角関数 問題集 4章 三角関数 中学生 小学生 高校生のテストや受験対策に おすすめ無料学習問題集 教材サイト



三角関数の方程式の解を求めよう Geogebra



三角比 三角関数の公式一覧 正弦 余弦 加法定理など アタリマエ



三角関数 激ムズ 方程式 が異なる4個の解を持つような Yahoo 知恵袋



下の2つのように 三角方程式 不等式を解く時に Clear



高校数学 三平方の定理による三角関数の計算 1 映像授業のtry It トライイット



三角関数の解の個数について質問です 写真にある解を4つもつ条件が2つの Yahoo 知恵袋



高校数学 三角方程式 不等式の図形的解法 座標変換 グラフの利用 受験の月



下の2つのように 三角方程式 不等式を解く時に Clear



3分でわかる 三角関数の不等式の解き方 合格サプリ



三角方程式の解の個数問題の完全攻略まとめ集 実践例題集を無料プレゼント 数学 化学講師 佐藤学による受験生に役立つ濃縮ポイントと Etc



千葉大学 過去問 三角関数 微分 マコリー Note



三角方程式の本当の解き方 高校数学の知識庫



三角関数の角度の求め方や変換公式 計算問題も徹底解説 受験辞典



数学 三角比 Sin Cos Tanの公式まとめ 表 変換 相互関係 面積 正弦定理 余弦定理 理系ラボ



数学 Ii Auf Twitter 第1節 三角関数 三角関数を含む方程式 不等式 B 三角関数を含む不等式 例題 0 8 2のとき 不等式cos8 1 2を解け



54 4 Check 139 A0 Cos2 S Descubre Como Resolverlo En Qanda



基本 一般角の三角関数と鋭角の三角関数 なかけんの数学ノート



高校数学 三角関数sin8の不等式 映像授業のtry It トライイット



三角関数を含む不等式の解の求め方 数学 苦手解決q A 進研ゼミ高校講座



数 B 三角関数の合成を用いた三角方程式



3



三角方程式 おいしい数学



新課程 3trial数学 P63 5 三角関数を含む方程式 不等式



三角関数



3



数学 B 三角関数 Basic 理系ラボ



高校数学 三角方程式 不等式 基本形 受験の月



三角関数のグラフの書き方を徹底解説 周期や平行移動の問題も 受験辞典



3 の問題についてです X Cos8で 2枚目の真ん中くらいの8の個数のところで Clear



3



三角方程式 おいしい数学



三角関数教えてください 写真の問題でf 0 F 1 0の理由がわか Okwave



48s96ub7b0z5f Net Sankakuhouteishiki Circle Graph



高校数学 三角方程式 不等式 三角関数の相互関係による関数の統一 受験の月



3分でわかる 三角関数の角度の求め方 三角方程式を解く 合格サプリ



三角関数を含む方程式や不等式 の指導法 怜悧玲瓏 高校数学を天空から俯瞰する



三角関数を含む不等式の解き方と単位円を使うコツ



三角方程式の基本 高校数学の無料オンライン学習サイトko Su



1



三角方程式 不等式の解法 二次式 すみません 書いている意味がわかりません Clear



三角関数の合成と最大値最小値問題の解き方



三角不等式 三角比 三角関数 おいしい数学



改訂版 3trial数学 P65 5 三角関数を含む方程式 不等式



数学 B 三角関数を解とする2次方程式 立命館大 駒澤大 北里大 大学入試数学の考え方と解法



数学 B 三角関数を含む方程式の解の個数 福岡大 東洋大 国士舘大 大学入試数学の考え方と解法



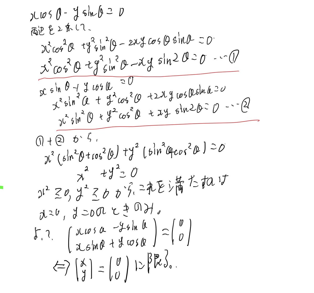
三角関数を含む方程式の範囲です 赤線以下の問題の解き方がわかりません Clear



数 B 三角関数の方程式は単位円と直角三角形で考えよう 岡山医学科進学塾のブログ



解法の拡張 その5 三角関数の計算を視覚化 Online数学授業



高校数学 三角方程式 不等式 三角関数の合成 受験の月



数学 三角方程式の解の個数問題チャート 実践例題集 自宅でできる受験対策ショップ ワカルー Wakaru



三角方程式の解の個数問題の完全攻略まとめ集 実践例題集を無料プレゼント 数学 化学講師 佐藤学による受験生に役立つ濃縮ポイントと Etc



1 2cos2sin 10 2 2 Descubre Como Resolverlo En Qanda



ド モアブルの定理 三角関数そして3次方程式 2016年度横浜市立大学医学部の入試問題 身勝手な主張



高校数学 三角方程式 不等式 三角関数の和積の公式 受験の月



三角方程式の解き方と例題 具体例で学ぶ数学



高次方程式問題 Of 京極一樹の数学塾会員頁



三角関数の合成公式



高校数学 三角方程式 不等式 2倍角 3倍角 半角の公式による角の統一 受験の月



三角不等式の解き方をじっくり解説してみる 高校数学の知識庫



数学2 三角関数 高校数学の難関 三角関数の重要ポイントがわかります



不等式に関する質問 29ページ 勉強質問サイト



数学 三角関数 第6回 Sin Cos Tanを含む方程式 Youtube



3分でわかる 三角関数の角度の求め方 三角方程式を解く 合格サプリ



三角関数の問題で 異なる4つの実数解をもつために 必要な条件がなぜ 1 T Yahoo 知恵袋



三角方程式の解の個数 Tの個数とxの個数の対応を考えよ 数学の偏差値を上げて合格を目指す



三角比 三角関数が苦手な人にお勧め 方程式も不等式も速効 秘伝 たんタンくるクル を公開しよう 金色の湯たんぽ



逆三角関数の方程式を解いてください できません なにとぞよろ 数学 教えて Goo



クリアー数学 数2 P58 25 三角関数を含む方程式 不等式



高2 数学 三角関数と解と係数の関係 日本大学19 高校生 数学のノート Clear



三角関数の方程式 不等式の解き方 単位円を考えよう



高校数学 連立三角方程式 三角関数の相互関係 合成 加法定理の利用 受験の月



で基本的な解法のベクトルを使って解いたのですが解答は三角関数を使って Yahoo 知恵袋



数 B 三角関数の合成を用いた三角方程式


0 件のコメント:
コメントを投稿